【九州大学】2024 化学 第2問
こんにちは。
九州大学の続きを見ていきます。
今回は気体の性質からの出題です。液体・気体と受験生が苦手とする分野がどちらも出てきていますので、練習には持って来いかと思います。
問1 AとBの物質量比
混合前のそれぞれの気体の状態方程式を立ててみましょう。圧力、気体定数、温度が同じなので物質量比を体積比で表せます。
問2 混合前後の物質量比
混合後のそれぞれの気体の状態方程式を立ててみましょう。容器全体の話ですが、後のことを考えて各気体について予め準備をしておくといいでしょう。
今回は体積、気体定数、温度が同じなので物質量比を圧力比で表せます。
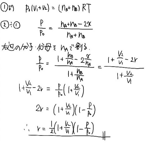
問3 気体Aの物質量変化率
気体Aの変化量をx[mol]とすると、平衡反応は次のように表すことができます。

そして今回求めたいrを問題文通りの形に式変形していきます。

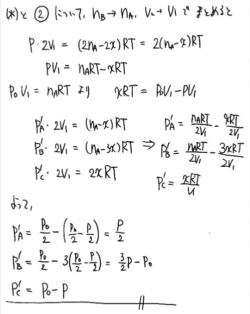
問4 各気体の分圧
V1=V2、nA=nbなので、V1・nAに統一して混合前後の各気体の状態方程式を立て直します。あとは各気体の分圧をp0とpを使って表していきます。

問5 pの取り得る値
混合後、A・B・Cが共存しているため、各分圧が0以上でなければいけません。これによってpの範囲が求まります。
問6 圧平衡定数
平衡反応から、圧平衡定数Kpを求めることができます。
あとは代入するだけですね。
まとめ
混合気体の問題は各気体について状態方程式を立てることが基本です。いくら全体の圧力や物質量を問われたとしても、まずはそれぞれの気体に着目することで全体を見渡すことができます。